Предмет: Математика,
автор: poputniypomogatel
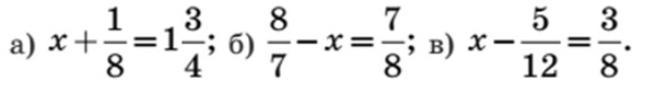
на картинке даю 100 балов (с подробнім решением)
Приложения:
Ответы
Автор ответа:
1
Пошаговое объяснение:
якось так вийшло, надіюсь допомогла
Приложения:
Автор ответа:
1
Ост це точно правильно в мене теж ця тема
Приложения:
poputniypomogatel:
поставлю лучший ответ но ты ведь на этом фото ничего не измени по сравнению с прошлым
Похожие вопросы
Предмет: Алгебра,
автор: good22072023
Предмет: Другие предметы,
автор: Аноним
Предмет: Математика,
автор: askerovislam30
Предмет: История,
автор: ramazanovakalimat200