Предмет: Алгебра,
автор: moiseenkoila92
7 класс уровнение простое, я туплю алгебра даю 20 бал
Приложения:
Ответы
Автор ответа:
1
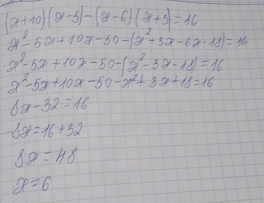
Ответ:
все решения и объяснения на фото
поставь пж лучший ответ;)
я старался
Приложения:
Похожие вопросы
Предмет: Українська мова,
автор: yuliiamalitska
Предмет: Химия,
автор: raisaperederij71
Предмет: География,
автор: Vika20burbela
Предмет: Русский язык,
автор: ostorozno777