Предмет: Математика,
автор: illagyrievtop
Жпжпжпжпжпжжпжпжпжжпжпжпжпжпжпжпжпжпжпжпжпжпжпжа
Приложения:
Ответы
Автор ответа:
1
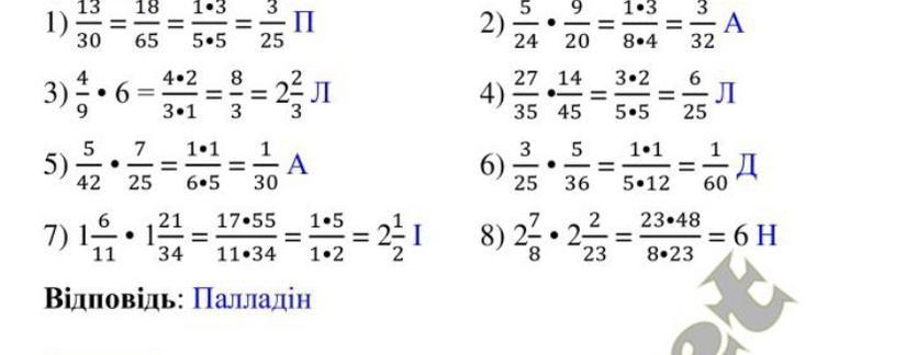
Палладін
.....................
Автор ответа:
1
В 1 замість "=” "•"
Найкраща відповідь пж
Найкраща відповідь пж
Приложения:
Похожие вопросы
Предмет: Биология,
автор: mashamarchyk32
Предмет: История,
автор: EBUKATANU
Предмет: Українська мова,
автор: tasyamir0109
Предмет: Математика,
автор: teuvazukovalia
Предмет: Алгебра,
автор: fayzillayeva0626