Предмет: Алгебра,
автор: romamudrov3
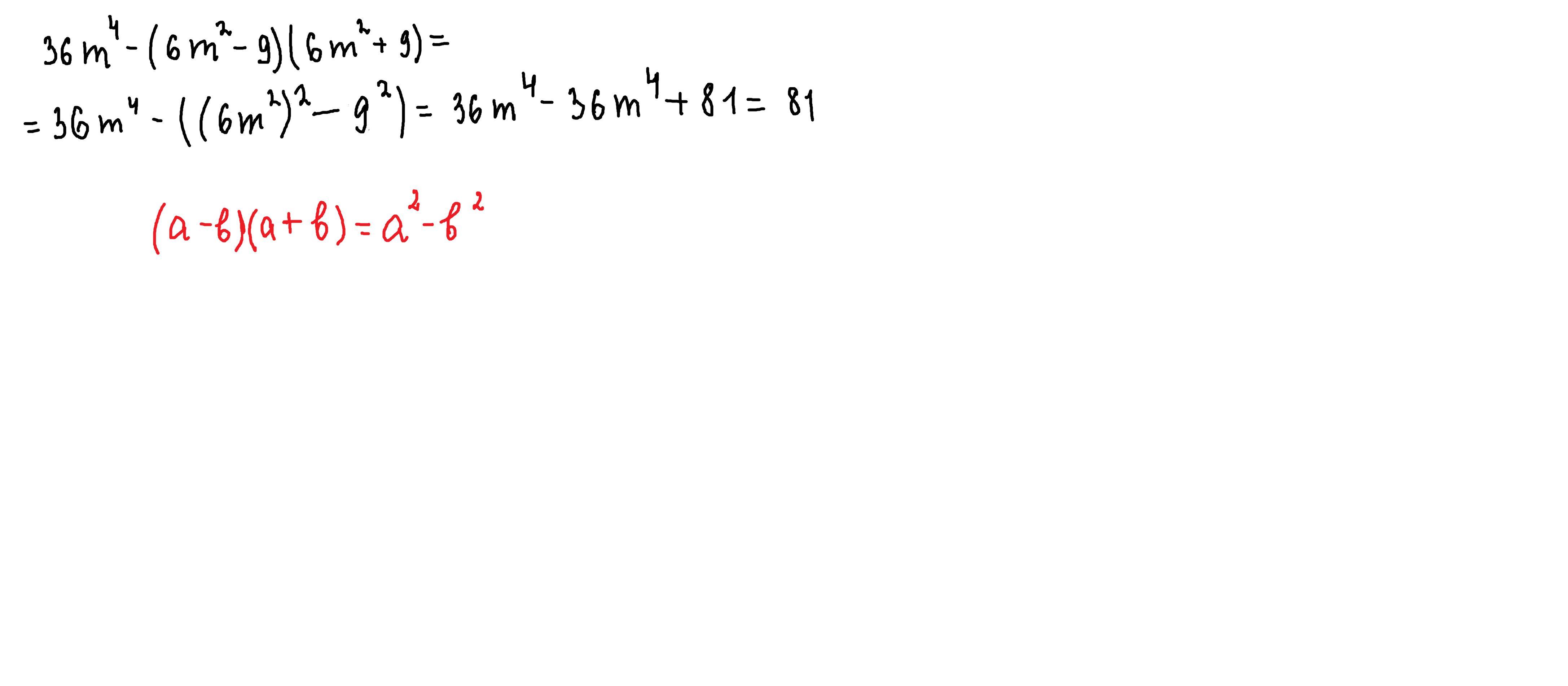
Спростіть вираз: 36m ^ 4 - (6m ^ 2 - 9)(6m ^ 2 + 9)
Ответы
Автор ответа:
2
Ответ:
81
Объяснение:
решение внизу
Приложения:
fedcenkop965:
Добрый день, помогите мне, пожалуйста, у моих вопросах с заданием по алгебре 10 класу, ПРОШУ ВАС
За каждые свои вопросы я даю всегда по 100 баллов
Похожие вопросы
Предмет: Английский язык,
автор: krshdl
Предмет: Математика,
автор: kukenzo997
Предмет: Алгебра,
автор: nikolajklinovskij543
Предмет: Математика,
автор: Unikorni
Предмет: Информатика,
автор: reginacubacuk