Предмет: Алгебра,
автор: sofcheek
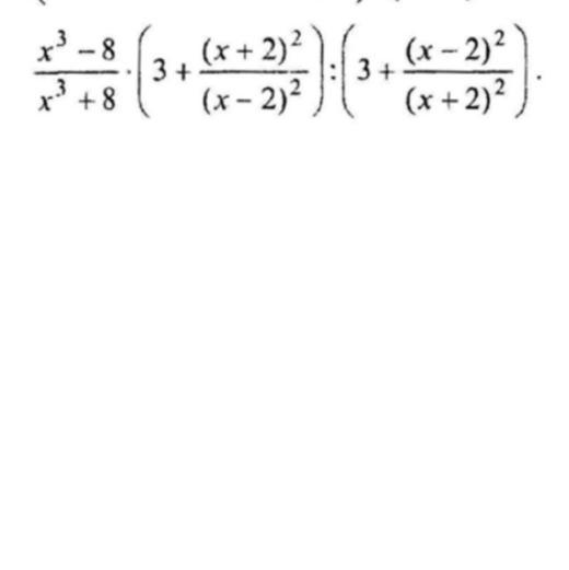
ПОМОГИТЕ ПОЖАЛУЙСТААААПОРП
Приложения:
Ответы
Автор ответа:
1
Ответ:
- разницы не было бы если бы я записала жто все в тетрадь и скинула , поэтому я думаю что все понятно
Приложения:
Автор ответа:
0
Ответ:
.........
Объяснение:
Приложения:
Похожие вопросы
Предмет: Информатика,
автор: mikaheybetov444
Предмет: Биология,
автор: bxbxhbdbdjszjj
Предмет: Английский язык,
автор: krshdl
Предмет: Русский язык,
автор: zkubisinova
Предмет: Қазақ тiлi,
автор: jake1747