Предмет: Математика,
автор: ostapminecraft61
m+2n-n(m+2)=m(1-n)
не звертайте уваги що це 10-11 клас то я випадково поставив так
але допоможіть будь ласка
Ответы
Автор ответа:
1
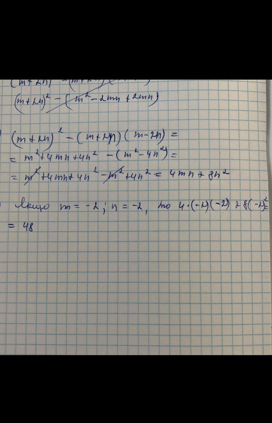
Ответ:
надеюсь помогли тебе!!!
Приложения:
ostapminecraft61:
Дякую!
Похожие вопросы
Предмет: Қазақ тiлi,
автор: syxarb64
Предмет: Математика,
автор: Аноним
Предмет: Химия,
автор: igorgame142
Предмет: Математика,
автор: gulimovalisa
Предмет: Английский язык,
автор: MitoJo