Предмет: Алгебра,
автор: megalkoilla
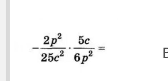
Виконайте дію 35 Балів
Приложения:
Ответы
Автор ответа:
1
Відповідь:
На фото
Пояснення:
Приложения:
Похожие вопросы
Предмет: Английский язык,
автор: sasha2000sin
Предмет: Українська мова,
автор: oksana19921011
Предмет: Литература,
автор: melaniamoroshan
Предмет: Русский язык,
автор: AVP300
Предмет: Алгебра,
автор: laura751