Предмет: Алгебра,
автор: danyalitvin44
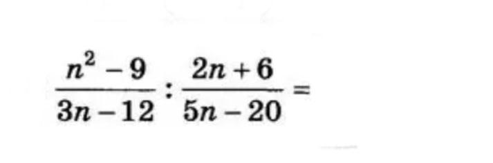
распишите подробно плс
Приложения:
Ответы
Автор ответа:
0
Ответ:
ответ на фото :)
Объяснение:
Приложения:
danyalitvin44:
спасибо а откуда 4 получилось ( n-4 ) на что 12 сократили
я просто вынесла за скобки общий множитель 3
Автор ответа:
1
Ответ:
Объяснение:
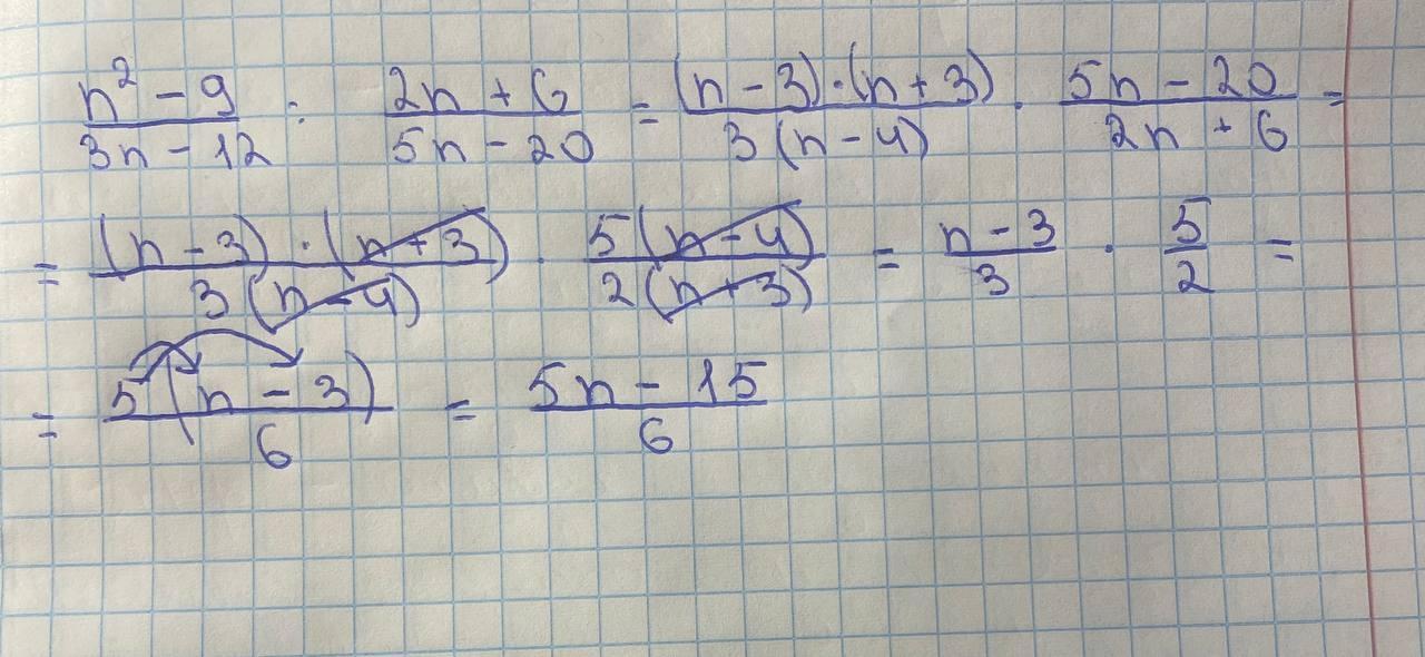
решение внизу
Приложения:
Похожие вопросы
Предмет: Українська мова,
автор: odoksnzmskz
Предмет: Математика,
автор: Noucman
Предмет: География,
автор: kuchinskayaolga2008
Предмет: Физика,
автор: polinakodinova