Предмет: Математика,
автор: hfsbfd0
СРОЧНОООООООООООО ФОТО
Приложения:
Ответы
Автор ответа:
0
Пошаговое объяснение:
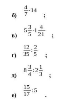
4/7 * 14 = 4/1 * 2 = 8/1 = 8
5 3/5 * 1 4/21 = 28/5 * 25/21 = 4/1 * 5/3 = 20/3 = 6 2/3
12/35 : 2/5 = 12/35 * 5/2 = 6/7 * 1/1 = 6/7
8 3/4 : 2 1/3 = 35/4 : 7/3 = 35/4 * 3/7 = 5/4 * 3/1 = 15/4 = 3 3/4
15/17 : 5 = 15/17 * 1/5 = 3/17 * 1/1 = 3/17
Похожие вопросы
Предмет: История,
автор: Аноним
Предмет: Математика,
автор: shponkaevgeniy
Предмет: География,
автор: v0315238
Предмет: Биология,
автор: ismailartem25