Предмет: Математика, автор: alexkorobko17

объясните пожалуйста как решить 5 задание , нужно срочно​

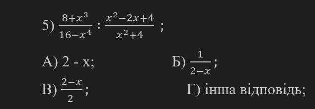
Приложения:

Ответы

Автор ответа: alinak3170
1

Ответ:

б)

 \frac{1}{x - 2}

Пошаговое объяснение:

 \frac{8 +  {x}^{3} }{16 -  {x}^{4} }  \div  \frac{ {x}^{2} - 2x + 4 }{ {x}^{2} + 4 }  =  \frac{8 +  {x}^{3} }{16 -  {x}^{4} }  \times  \frac{ {x}^{2}  + 4}{ {x}^{2}  - 2x + 4}  =  \frac{(2 + x) \times (4 +  {x}^{2} - 2x) }{( {x}^{2}  + 4) \times ( {x}^{2}  - 4)}  \times  \frac{ {x}^{2}  + 4}{ {x}^{2} - 2x + 4 }  =  \frac{2 + x}{ {x}^{2}  - 4}  =  \frac{x + 2}{(x + 2) \times (x - 2)}  =  \frac{1}{x - 2}

Похожие вопросы
Предмет: История, автор: mariafilipenko29
Задание 2. Укажите процессы, события и мероприятия (их даты), характеризовавшие внутреннюю политику СССР в середине 1950-х – начале 1960-х гг.
А) в экономике;
Б) в системе управления;
В) в социально-политической сфере;
Г) в идеологии и культуре.
Например:
А) 1. Массовое освоение целинных и залежных земель в Казахстане и Сибири.
2…
3…
Б) 1. Массовое укрупнение колхозов или их преобразование в совхозы.
2…
3…
В) 1. Разоблачение культа личности И.В. Сталина.
2…
3…
Г) 1. Проведение реформы среднего образования.
2…
3…

Задание 3. Назовите итоги развития экономики к концу 1950-х гг.
а) частичное восстановление хозяйства
б) восстановление разрушенного войной хозяйства
в) отмена карточной системы
г) возникновение тенденций к повышению уровня жизни населения
д) появление инфляции

Задание 4. Укажите значение реформ 1950-х гг.
а) переход к либеральному реформизму
б) продление существующего режима
в) разрастание бюрократического аппарата
Предмет: Алгебра, автор: ajdosovamadina2