Предмет: Алгебра,
автор: alinakydyrbaeva711
ПОМОГИТЕ ПОЖАЛУЙСТА СРОЧНО!!! ДАМ 20 БАЛЛОВ
Приложения:
Ответы
Автор ответа:
1
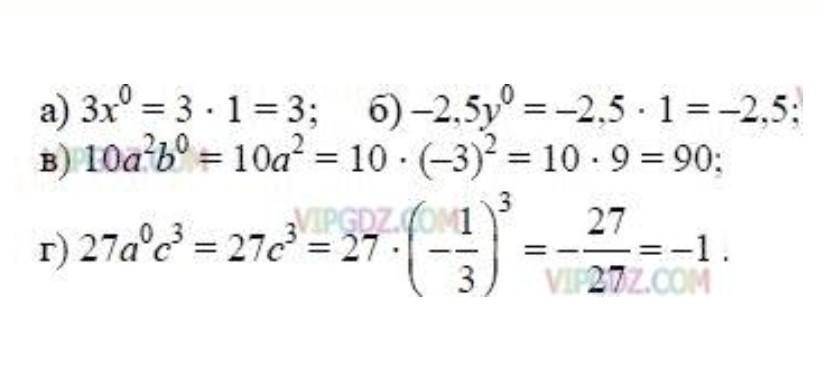
Ответ:
вродебы всё правильно!
Объяснение:
удачи)
Приложения:
Похожие вопросы
Предмет: Алгебра,
автор: WinsendXxnxn
Предмет: Физика,
автор: andrej999
Предмет: Қазақ тiлi,
автор: qwerty2010ka
Предмет: География,
автор: Аноним