Предмет: Математика,
автор: asema3776
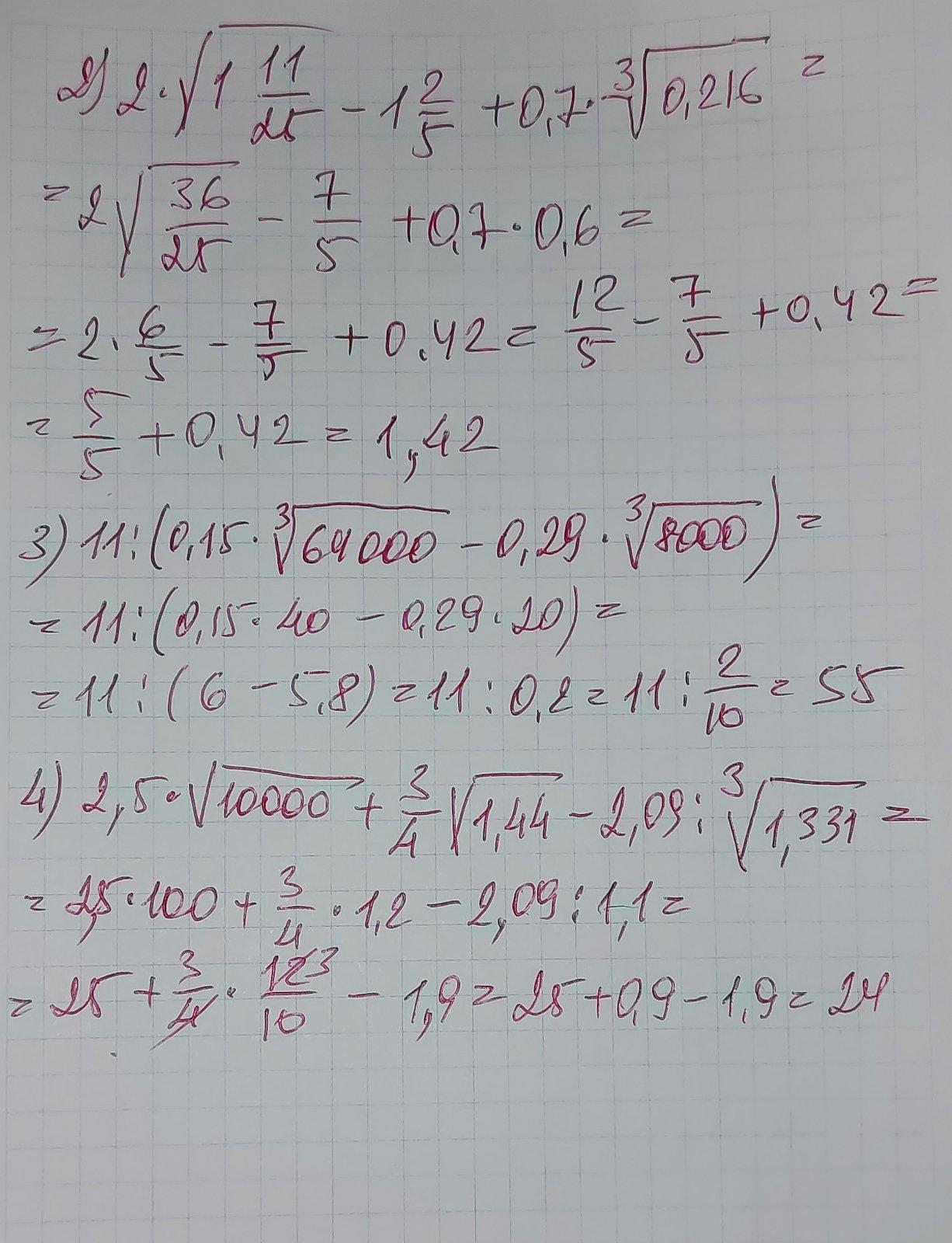
Выполните действия
Помогите пожалуйста,только 9.6(2,3,4)пожалуйста срочно надо
Заранее спасибо ❤️
Приложения:
Ответы
Автор ответа:
0
Відповідь:
1,42
55
24
Покрокове пояснення:
См. вложение
Приложения:
Автор ответа:
0
#######636######636####
Приложения:
Похожие вопросы
Предмет: Английский язык,
автор: azadaliyevvv638
Предмет: Другие предметы,
автор: vendet2078
Предмет: Физика,
автор: evamaria07062000
Предмет: Алгебра,
автор: karakatbektursyn968
Предмет: География,
автор: andreismart2003