Предмет: Алгебра, автор: Gvmed360

Найпростіші тригонометричні рівняння
Завдання на фото

Приложения:

Ответы

Автор ответа: NNNLLL54
1

Ответ:

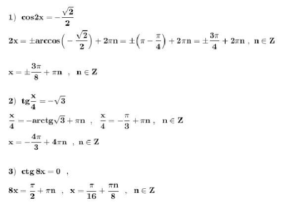
Решить тригонометрические уравнения .

Применяем формулы для решений простейших тригонометрических уравнений .

\bf \displaystyle 1)\ \ cos2x=-\frac{\sqrt2}{2}\\\\2x=\pm arccos\Big(-\frac{\sqrt2}{2}\Big)+2\pi n=\pm \Big(\bf \pi -\frac{\pi }{4}\Big)+2\pi n=\pm \frac{3\pi }{4}+2\pi n\ ,\ n\in Z\\\\\\x=\pm \frac{3\pi }{8}+\pi n\ \ ,\ \ n\in Z\\\\\\2)\ \ tg\frac{x}{4}=-\sqrt3\\\\\frac{x}{4}=-arctg\sqrt3+\pi n\ \ ,\ \ \frac{x}{4}=-\frac{\pi }{3}+\pi n\ ,\ \ n\in Z\\\\x=-\frac{4\pi }{3}+4\pi n\ \ ,\ n\in Z\\\\\\3)\ \ ctg\, 8x=0\ \ ,\\\\8x=\frac{\pi }{2}+\pi n\ \ ,\ \ x=\frac{\pi }{16}+\frac{\pi n}{8}\ \ ,\ \ n\in Z  

Приложения:
Похожие вопросы