Предмет: Алгебра, автор: maksimpetrushkin6

2√5 + 4√20 +2√75-4√27
Помогите прошу, мне срочно нужно решение :(​

Приложения:

Ответы

Автор ответа: NNNLLL54
0

Ответ:

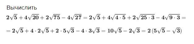
Вычислить

\bf 2\sqrt5+4\sqrt{20}+2\sqrt{75}-4\sqrt{27}=2\sqrt5+4\sqrt{4\cdot 5}+2\sqrt{25\cdot 3}-4\sqrt{9\cdot 3}=\\\\=2\sqrt5+4\cdot 2\sqrt{5}+2\cdot 5\sqrt{3}-4\cdot 3\sqrt{3}=10\sqrt5-2\sqrt3=2\, (5\sqrt5-\sqrt3)

Приложения:
Похожие вопросы
Предмет: Литература, автор: kondratenko2020
Літературний диктант за твором Ш. Бронте «Джейн Ейр» (1-20 розділи)

1 варіант
1.Де пройшло дитинство Джейн Ейр?
2. До чого призвели постійні знущання над Джейн Ейр у родині Рід?
3. Яку книгу героїня вкотре перечитувала з захопленням?
4. У чому полягала таємниця червоної кімнати?
5. Куди вирішила відправити тітка Джейн?
6. Як наказав Броклгерст Ейр за те, що вона розбила грифельну дощечку?
7. У сирітському притулку дівчина провела 8 років в якості…
8. Як схарактеризував Джейн покровитель школи, спираючись на слова її
тітки?
9. Про кого йдеться: «О, це чудова людина. Він трохи дивак. Багато
мандрував і чимало побачив на своєму віку. Чоловік ніби розумний. Ніколи
не можна бути певним, чи то він жартує, чи каже серйозно, вдоволений він
чи ні»?
10. За яких обставин Джейн познайомилась із Рочестером?
11. Адель – це …
12. Як у Джейн з’явився портрет міс Інгрем – нареченої містера Рочестера?
Предмет: Литература, автор: aliosha5970
Предмет: Математика, автор: izarylgasynkyzy