Предмет: Алгебра,
автор: andriydoros30
Допоможіть срочно!!!!
Приложения:
Ответы
Автор ответа:
0
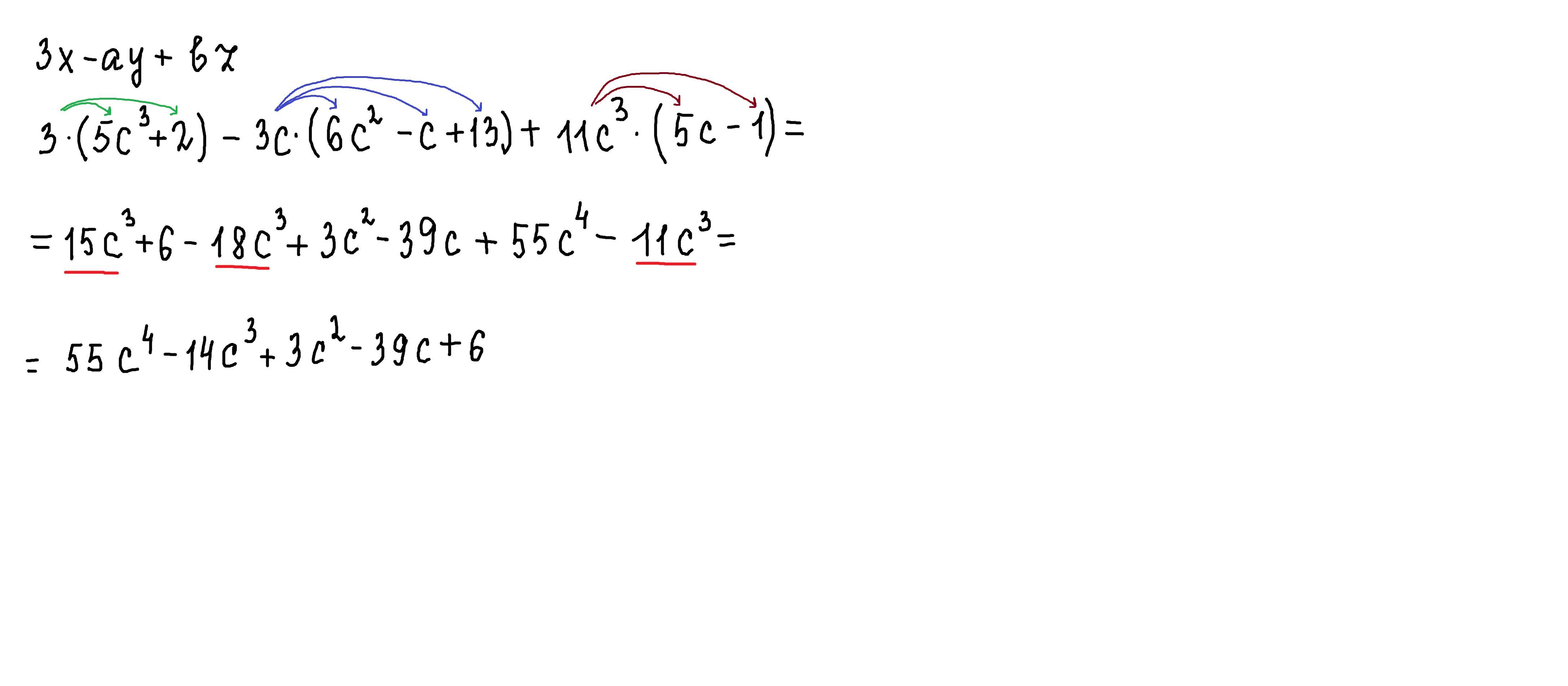
Ответ:
Объяснение:
решение внизу
Приложения:
Похожие вопросы
Предмет: Физика,
автор: Nazar29057
Предмет: Алгебра,
автор: chupapyps
Предмет: Литература,
автор: ajlanakaparova
Предмет: Алгебра,
автор: VIKULETTAA
Предмет: Физика,
автор: kapetsc