Предмет: Алгебра,
автор: ataba2452
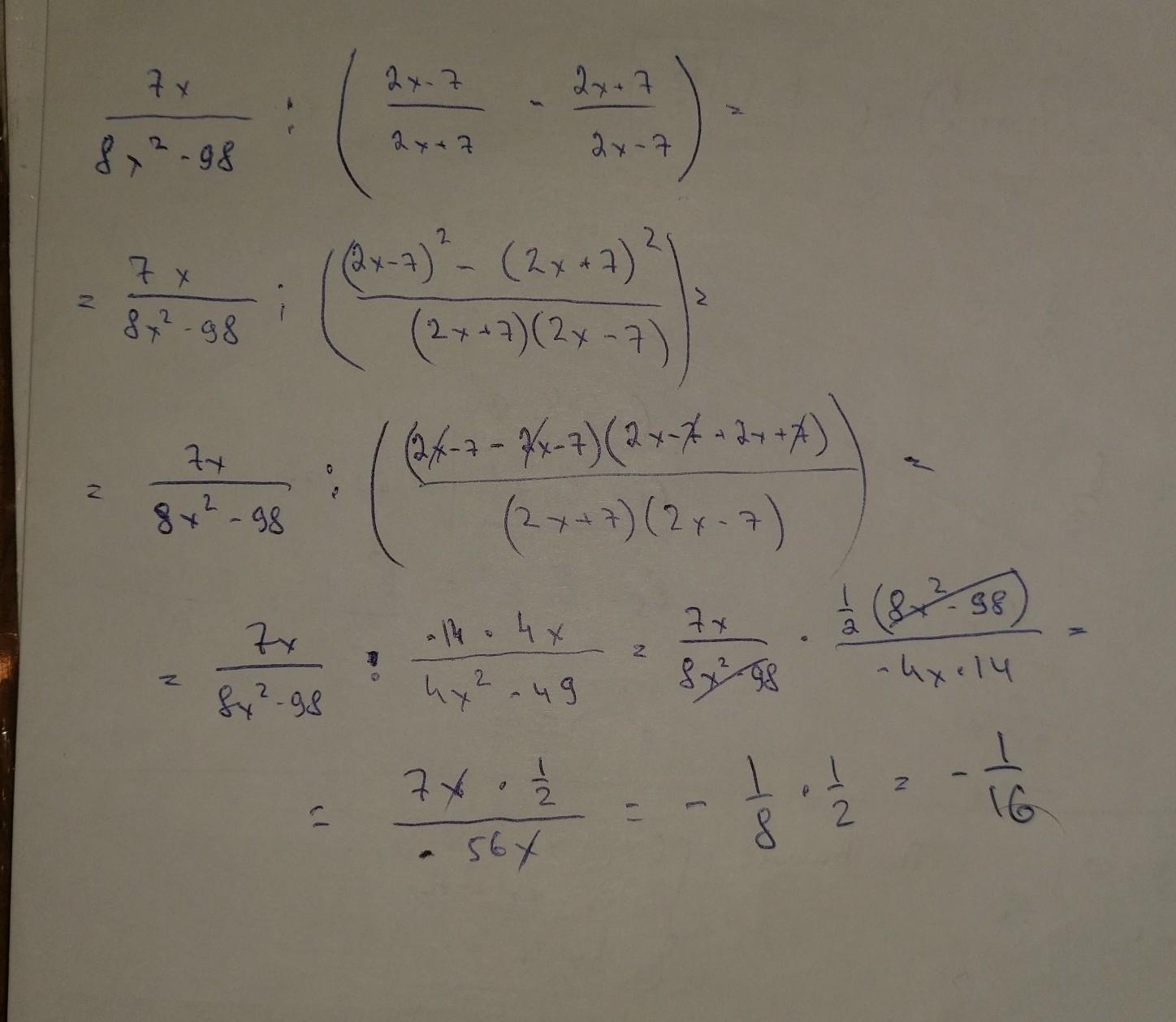
Доведи тотожність. 2(бали)
Приложения:
Ответы
Автор ответа:
0
Ответ:
смотриииииииии фотооооооооооооооо
Приложения:
Похожие вопросы
Предмет: Українська література,
автор: olegvorobei945
Предмет: Английский язык,
автор: alimuratalua
Предмет: Математика,
автор: gykv333
Предмет: Английский язык,
автор: zumagalieva634
Предмет: Математика,
автор: Аноним