Предмет: Алгебра,
автор: orianabas9
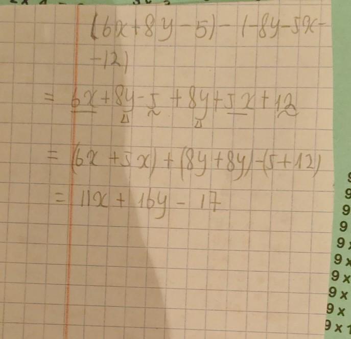
знайдіть різницю многочленів (6х+8у-5)-(-8у-5х-12)
Ответы
Автор ответа:
0
Ответ:
11x+16y+7
Объяснение:
dododkdnxurbwkxueb
Автор ответа:
0
Объяснение:
11x+16y-17
hdjdhdhjxjdjd
Приложения:
Похожие вопросы
Предмет: Биология,
автор: yuxik006
Предмет: Английский язык,
автор: ichebentaev
Предмет: Қазақ тiлi,
автор: dzanbekadia
Предмет: Алгебра,
автор: gggorka
Предмет: Русский язык,
автор: ashimxanmiko