Предмет: Алгебра,
автор: ikapec2023
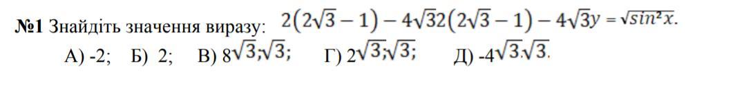
Дайте відповідь на питання котрі зможете
Приложения:
Ответы
Автор ответа:
0
Ответ:
1Д. 3Г. а 4 не знаю но наверное 1
Похожие вопросы
Предмет: Алгебра,
автор: davidpancuk922
Предмет: Українська мова,
автор: Kkkkkkaaattt
Предмет: Українська мова,
автор: kzdml15dor
Предмет: Русский язык,
автор: azizabduhelilov
Предмет: Алгебра,
автор: ponchik4547