Предмет: Алгебра,
автор: makarenkorostislav3
ПОМОГИТЕ ПОЖАЛУЙСТА УМОЛЯЮ ЗНАНИЯ Я ВАС ОЧЕНЬ ПРОШУ ПОМОГИТЕ С АЛГЕБРОЙ УМОЛЯЮ Я ВАМ НА ДОБРО ДАЮ 100 БАЛОВ!!!!!!!!!!!!!!!!!!!!!!!!!!
Приложения:
Ответы
Автор ответа:
1
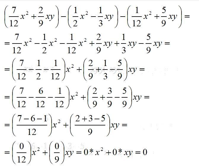
Відповідь:
Пояснення:
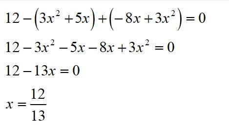
Приложения:
makarenkorostislav3:
спс
Похожие вопросы
Предмет: Қазақ тiлi,
автор: berikovamm
Предмет: Қазақ тiлi,
автор: alpatovakata4
Предмет: Математика,
автор: leopard147
Предмет: Русский язык,
автор: evgenb2804
Предмет: Математика,
автор: ksenia372528