Предмет: Химия,
автор: imranasimov47
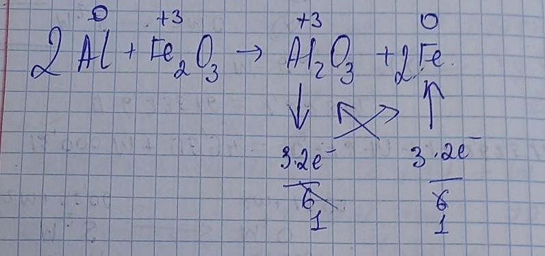
6. Решите окислительно- восстановительную реакцию. Составьте электронный баланс. Расставьте коэффициенты. (36) Al + Fe2O3 3 - Al2O3 + Fe
Ответы
Автор ответа:
1
Объяснение:
вот тебе ответ это легкий способ решения окислительно-восстановительной реакции если степень окисления увеличили то стрелка вниз это восстановитель если уменьшили окислитель пиши комментарий и ставь ❤️
Приложения:
Похожие вопросы
Предмет: Биология,
автор: vasilinag700
Предмет: Русский язык,
автор: minarici931
Предмет: Математика,
автор: fedikkor24
Предмет: Литература,
автор: elifderinolu2005