Предмет: Алгебра, автор: Dnndndncndndnd

Помогите пожалуйста .

Приложения:

Ответы

Автор ответа: olesyapisareva
0

Ответ:

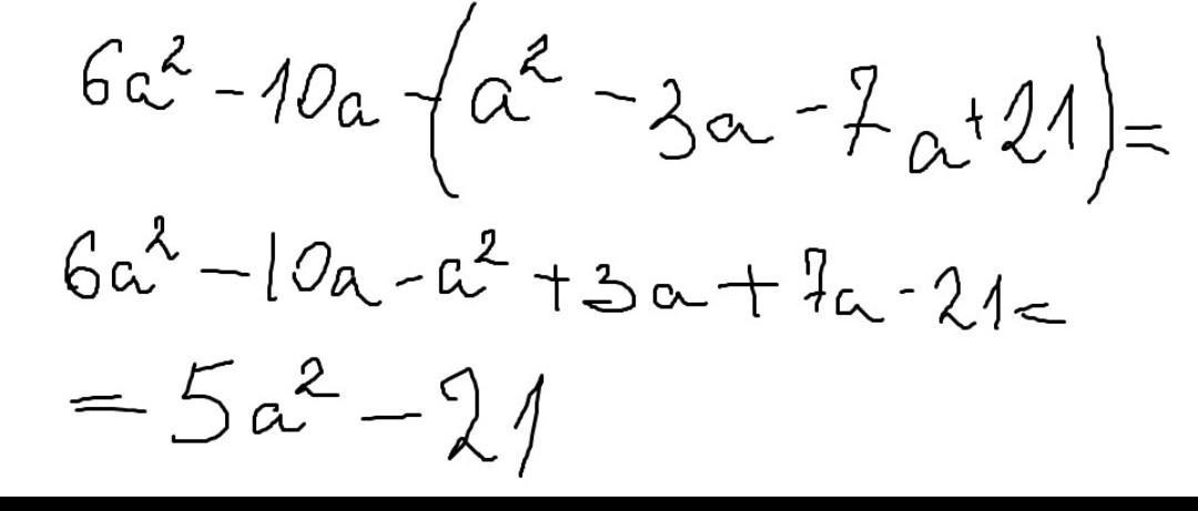
решение на фото надеюсь помогла

Приложения:
Автор ответа: pepsakola251
0

Объяснение:

.

.....

..

.

.

.

.

...

....................

Приложения:
Похожие вопросы
Предмет: Українська мова, автор: 1111petrov1111
50 баллов

Перепишіть речення й розставте в них розділові знаки.

1. Шуми вітре шуми буйний на ліси на гори... (М. Шашкевич). 2. Радій же серце До остан-
ку пий життя людського пінистий напій (М. Рильський). 3. О незвичайна чародійна мово хоч

пронеслася молодість громово твій звук у мене в серці не затих (Д. Павличко). 4. Марусино

серце пожалій мене візьми моє серце дай мені своє (Нар. тв.). 5. О страднику великий Про-
метею тобі я заздрю (Леся Українка). 6. І далі ми пішли вже самі товариші генерали хоча

ви ніколи не давали нам достатньо зброї не давали боєприпасів необхідних для наступу...

(В. Шкляр). 7. Моя маленька дівчинко Якби ти знала як я чекав від тебе хоч якої-небудь ві-
сточки (В. Симоненко). 8. Прийми мене весно рожева слугою твоєї краси візьміть мене братом

дерева візьміть мене в прийми ліси (Олександр Олесь). 9. Слов’яни любі й ви усі народи Борі-
тесь стійте за свої свободи (П. Тичина).
Предмет: География, автор: Аноним