Предмет: Алгебра,
автор: koshovaanastasiya092
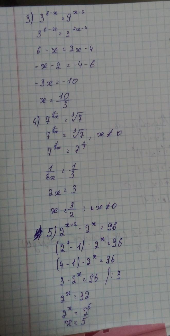
помогите пожалуйста, я даю 40 балов
Приложения:
Ответы
Автор ответа:
1
Вибач 6 не знаю
........................
Приложения:
Похожие вопросы
Предмет: Математика,
автор: petia25lavrenyk
Предмет: Українська література,
автор: alinakozyr310
Предмет: Химия,
автор: adisha38
Предмет: Другие предметы,
автор: Аноним
Предмет: Қазақ тiлi,
автор: Аноним