Предмет: Алгебра, автор: valertyvb3

Решить дифференциалы алгебраических функций.

Приложения:

Ответы

Автор ответа: brbrbrbaraban
0

Ответ:

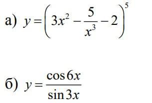
Для того чтобы решить дифференциал функции y = (cos 6x) / (sin 3x), мы можем воспользоваться правилом дифференцирования частного.

Дифференциал от функции sin 3x:

(sin 3x)' = 3*cos 3x

Дифференциал от функции cos 6x:

(cos 6x)' = -6*sin 6x

Тепер воспользуемся правилом дифференцирования частного:

(y)' = [(sin 3x * (-6*sin 6x)) - (cos 6x * 3*cos 3x)] / (sin 3x)^2

(y)' = [-6sin 3x*sin 6x - 3cos 6x*cos 3x] / (sin 3x)^2

Таким образом, мы получаем дифференциал функции y = (cos 6x) / (sin 3x) представленный выше.

Объяснение:

Диференціюємо функцію y = (3x^2 - 5/x^3 - 2)^5 за допомогою правила ланцюга.

Спочатку знайдемо похідну внутрішньої функції (3x^2 - 5/x^3 - 2):

y' = 5(3x^2 - 5/x^3 - 2)^4 * (6x + 15/x^4).

Тепер знайдемо похідну всієї функції відповідно до правила ланцюга:

y' = 5(3x^2 - 5/x^3 - 2)^4 * (6x + 15/x^4) * (3x^2 - 5/x^3 - 2)^5.

Отже, ми отримали похідну для функції y = (3x^2 - 5/x^3 - 2)^5 за допомогою алгебраїчних дій.

Похожие вопросы
Предмет: Геометрия, автор: sklyrovavira