Предмет: Алгебра,
автор: p7946048
Допоможіть будь-ласка! Я вже спати хочу.
можете розв‘язати ці номера як у школі не з інтернету пж.
№258(2) і №259
8 клас
Приложения:
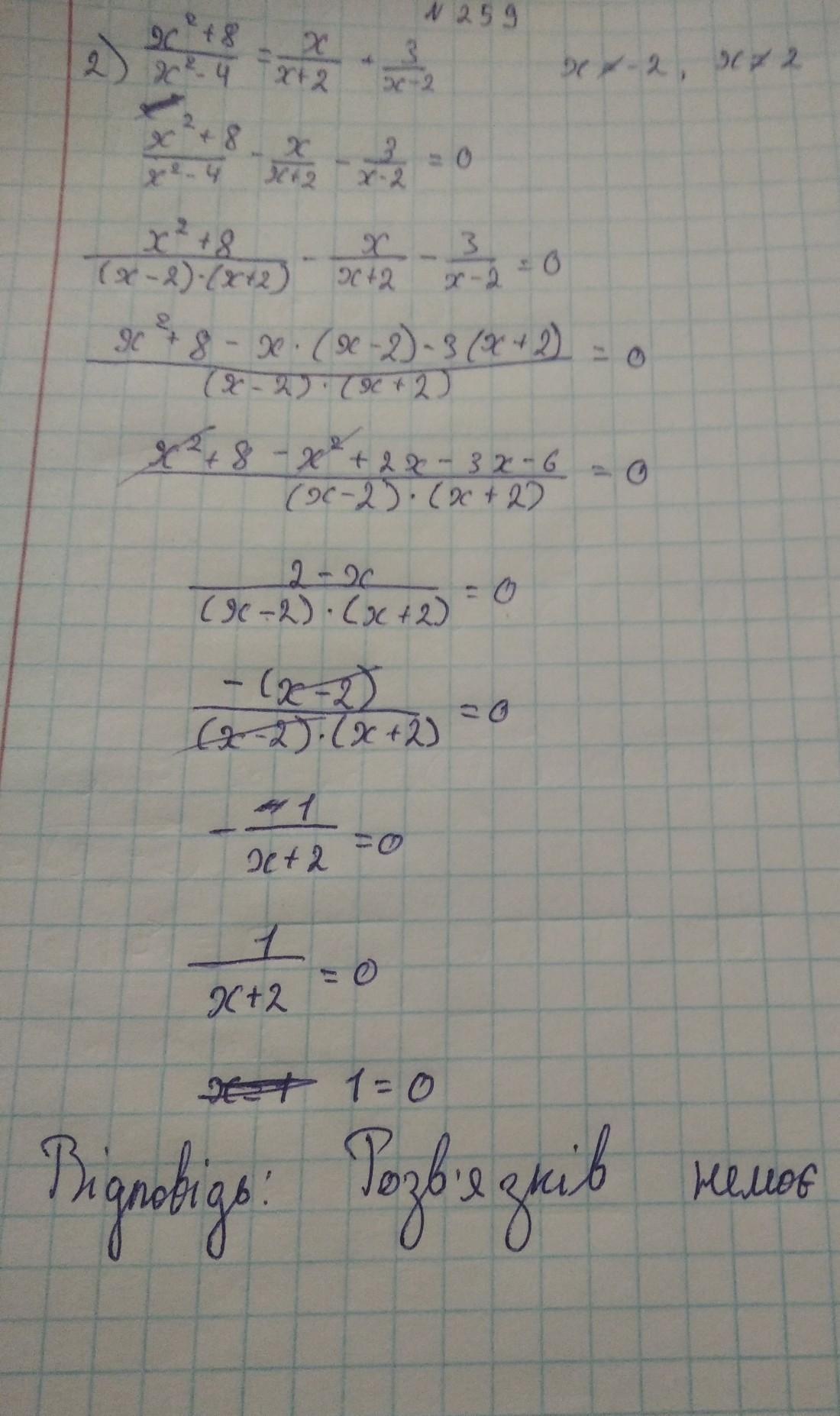
Ответы
Автор ответа:
1
Объяснение:
Зробила як змогла
чи правильно чи ні не знаю
робила по пам'яті
Приложения:
p7946048:
Дякую!!! це те що мені і треба! Ти молодець.
Похожие вопросы
Предмет: Математика,
автор: vova256311
Предмет: География,
автор: defferter2612
Предмет: Английский язык,
автор: myktarovaadelina
Предмет: Алгебра,
автор: danuk05stefura
Предмет: Математика,
автор: arighohddgmailcom