Предмет: Математика,
автор: kolyazvonenko8
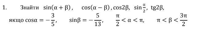
Срочно надо, помогите пожалуйста, дам 100 баллов
Приложения:
Ответы
Автор ответа:
0
Ответ:
скачай приложение фотмач там все есть
Похожие вопросы
Предмет: География,
автор: palijsasa8150
Предмет: География,
автор: joklo234
Предмет: Алгебра,
автор: maryna3374
Предмет: Математика,
автор: kukudha776
Предмет: Қазақ тiлi,
автор: zhaniyasaparbek