Предмет: Математика,
автор: vitajozefik
Будь ласка срочно допоможіть з завданням
Приложения:
Ответы
Автор ответа:
1
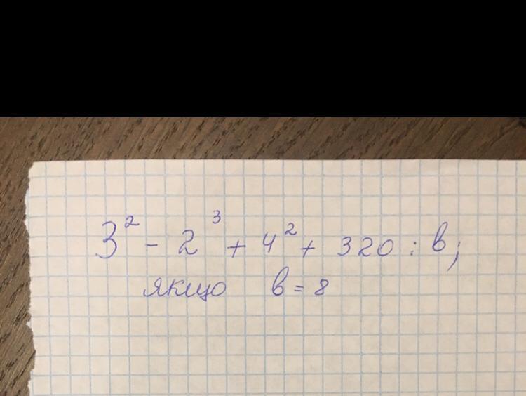
9-8+16+320:40
= 17 + 40 = 57
= 17 + 40 = 57
dianakycher2010:
57
Автор ответа:
1
Ответ:
57
Пошаговое объяснение:
Похожие вопросы
Предмет: Українська література,
автор: zjatukwalja
Предмет: Қазақ тiлi,
автор: alataeva22
Предмет: Алгебра,
автор: lonziik
Предмет: Математика,
автор: aluasalua228
Предмет: Другие предметы,
автор: Аноним