Предмет: Алгебра,
автор: hayjeb678
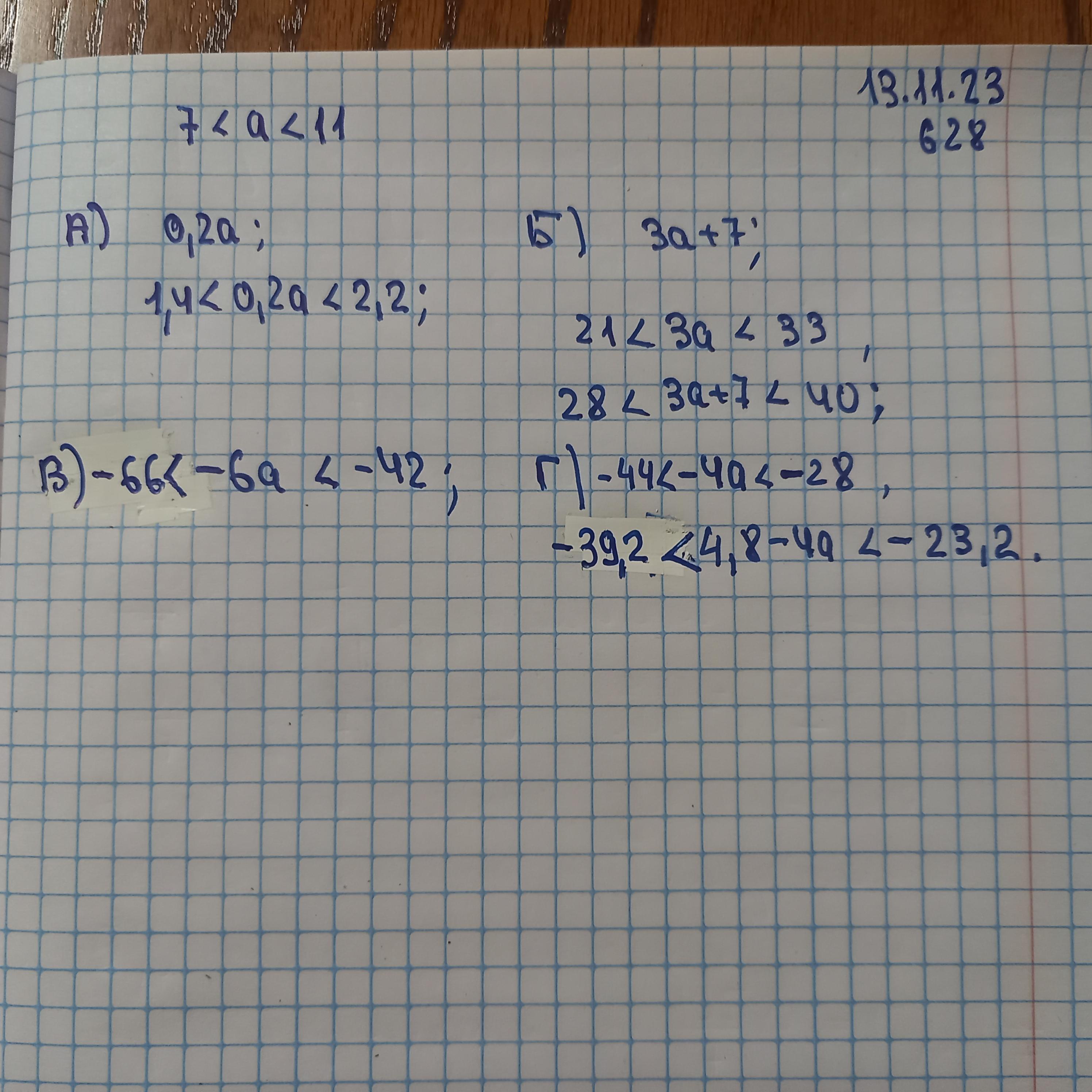
Помогите пж Дано: 7 <а < 11. Оцініть значення виразу: А) 0,2а; Б) 3 а+7; B) - 6a; Г) 4,8-4a
Ответы
Автор ответа:
0
Відповідь:
Пояснення:
розв'язання завдання додаю
Приложения:
Автор ответа:
0
Ответ:
Объяснение:
не всё так страшно, как кажется на первый взгляд
7<a<11
чтобы сравнить, нужно на числовой коэффициент умножить всё неравенство
A) 7<a<11 | *0,2
0,2*7<0,2a<0,2*11
1,4<0,2a<2.2
Б) 7<a<11 | *3
7*3<3a<11*3
21<3a<33 | +7
21+7<3a+7<33+7
28<3a+7<40
В) 7<a<11 | *(-6)
при умножении на отрицательное число знак неравенства меняется на противоположный
7*(-6)>-6a>11*(-6)
-42>-6a>-66
Г) 7<a<11 | *(-4)
7*(-4)>-4a>11*(-4)
-28>-4a>-44 | +4,8
4,8-28>4,8-4a>4,8-44
-23,2>4,8-4a>-39,2
вуаля
Похожие вопросы
Предмет: Українська література,
автор: lasevaanastasia5
Предмет: Математика,
автор: aza006350
Предмет: Окружающий мир,
автор: Аноним
Предмет: Литература,
автор: BkackUnikorn345