Предмет: Математика, автор: johnpork06092000

Найти координаты точки M- середины AB если A(-2;4) B(4;-2)

Ответы

Автор ответа: shadowmarder20
0

Відповідь:

M (1;1)

Покрокове пояснення:

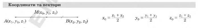
M (x_{0}; y_{0}) знайдемо спочатку x_{0}, потім y_{0}

x_{0}=\frac{x_{1} + x_{2}}{2}

x_{1} - це ікс точки A, оскільки вона перша, x_{2} - це ікс точки B, оскільки вона друга, з ігриками все аналогічно

x_{0}= \frac{x_{1} + x_{2}}{2} = \frac{-2 + 4}{2} = \frac{2}{2} = 1

y_{0} = \frac{y_{1} + y_{2}}{2} = \frac{4 + (-2)}{2} = \frac{4 - 2}{2} = \frac{2}{2} = 1

Формули я взяв із НМТ, вони прикріплені

Приложения:
Похожие вопросы
Предмет: Математика, автор: bshaimerdenova71