Предмет: Математика, автор: MegabMozg

срочно ДАЮ 50БАЛОВ и ещё роспишите немного...​

Приложения:

Ответы

Автор ответа: lidiabraun2009
0

Ответ:

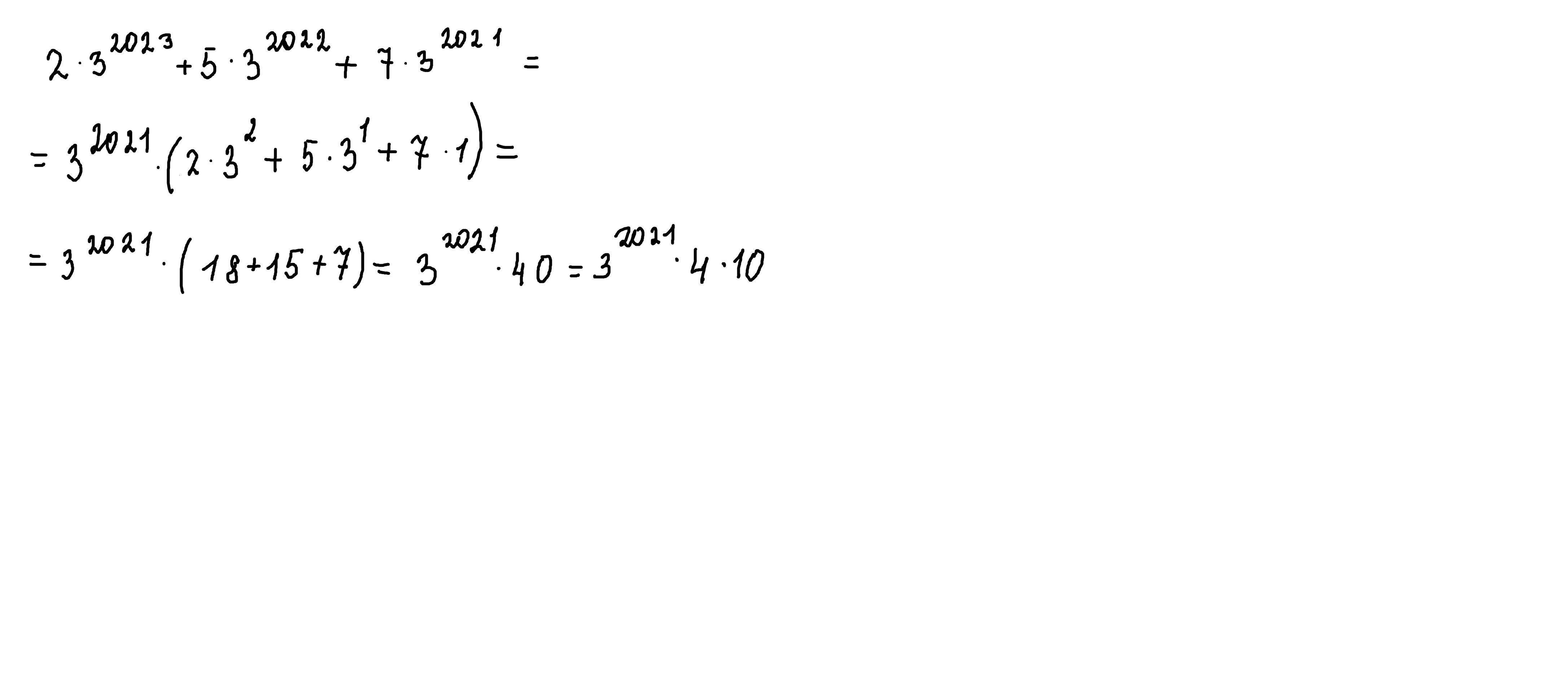
40 \times 3 {}^{2021}

Пошаговое объяснение:

(2 \times  {3}^{2} + 5 \times 3 + 7) \times  {3}^{2021}

(2 \times 9 + 15 + 7) \times  { 3}^{2021}

(18 + 15 + 7) \times  {3}^{2021}

40 \times  {3}^{2021}


MegabMozg: вираз кратний 10 ?
Автор ответа: parus77
0

Ответ:

Пошаговое объяснение:

вынесем за скобки общий множитель,вычислим значение выражения в скобках и получим выражение,в котором один из множителей равен 10,значит и все это выражение тоже кратно 10.

Приложения:

MegabMozg: огромное спасибо наконец понял тему
Похожие вопросы
Предмет: Математика, автор: danya0991244896
Предмет: Қазақ тiлi, автор: Аноним