Предмет: Математика,
автор: sergslx
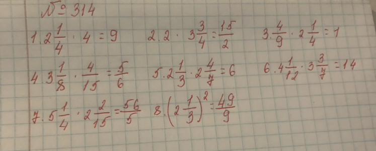
Номер 314-пожалуйста
Номер 318-пожалуйста
Приложения:
Ответы
Автор ответа:
2
::::::::::::Номер 314
Приложения:
Автор ответа:
0
тут только 3 примера ..........:....../::::
Приложения:
Похожие вопросы
Предмет: Математика,
автор: zakipniydania
Предмет: Литература,
автор: bulganinegor2704
Предмет: Другие предметы,
автор: btoleubay2013
Предмет: Русский язык,
автор: nuryagdiyreazubeyda