Предмет: Геометрия,
автор: unmotivatedterotero
40 БАЛІВ
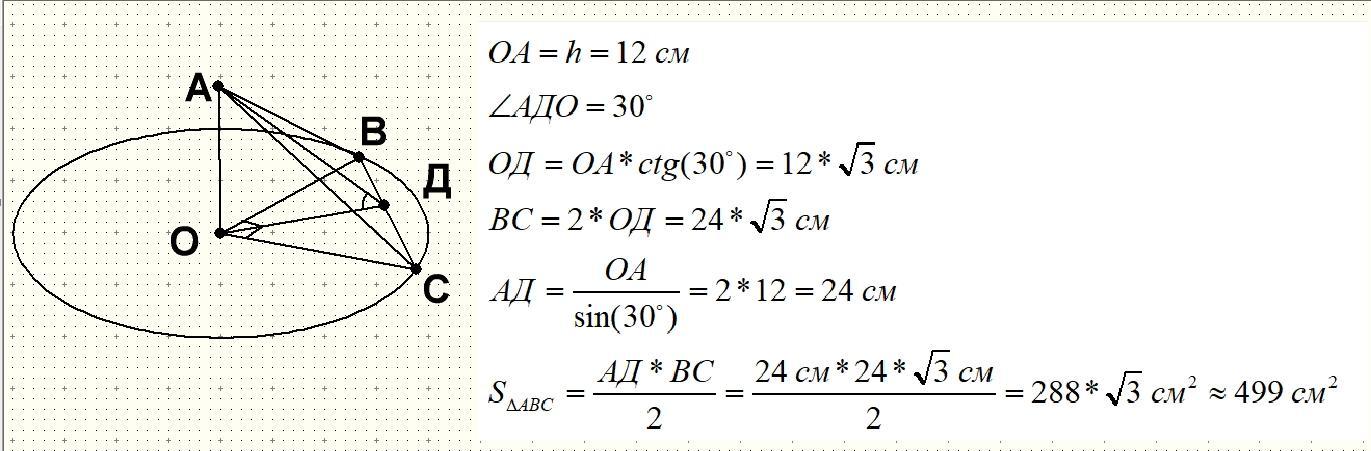
Через дві твірні конуса проведено площину, яка перетинає його основу по хорді, що стягує дугу, градусна міра якої дорівнює 90°. Кут між проведеною площиною та площиною основи дорівнює 30°. Висота конуса дорівнює 12 см. Знайдіть площу утвореного перерізу.
Бажано з малюнком
Ответы
Автор ответа:
1
Відповідь:
Пояснення:
Приложения:
ГАЗ52:
Почему <АДО=30° .Может 30°=<АВО?
Кут між проведеною площиною та площиною основи дорівнює 30
все вірно
угол АВО меньше чем заданный угол
углом между плоскостями может служить плоский угол между двумя лучами в заданных плоскостях, причем лучи должны быть перпендикулярны прямой по которой пересекаются плоскости
все вірно
угол АВО меньше чем заданный угол
углом между плоскостями может служить плоский угол между двумя лучами в заданных плоскостях, причем лучи должны быть перпендикулярны прямой по которой пересекаются плоскости
А,... Теперь ясно .Тогда <АВО=30, тк он плоский.
площина , що перетинає основу по хорді , це OBC ?
Похожие вопросы
Предмет: Геометрия,
автор: prostotima2011
Предмет: Геометрия,
автор: zajkaty24
Предмет: Математика,
автор: zakipniydania
Предмет: Русский язык,
автор: sytnikaroslav6
Предмет: Русский язык,
автор: Marjani