Предмет: Алгебра, автор: jezzymercuryyy

ПОМОГИТЕ ДАМ 40 БАЛЛОВ ФАСТОМ

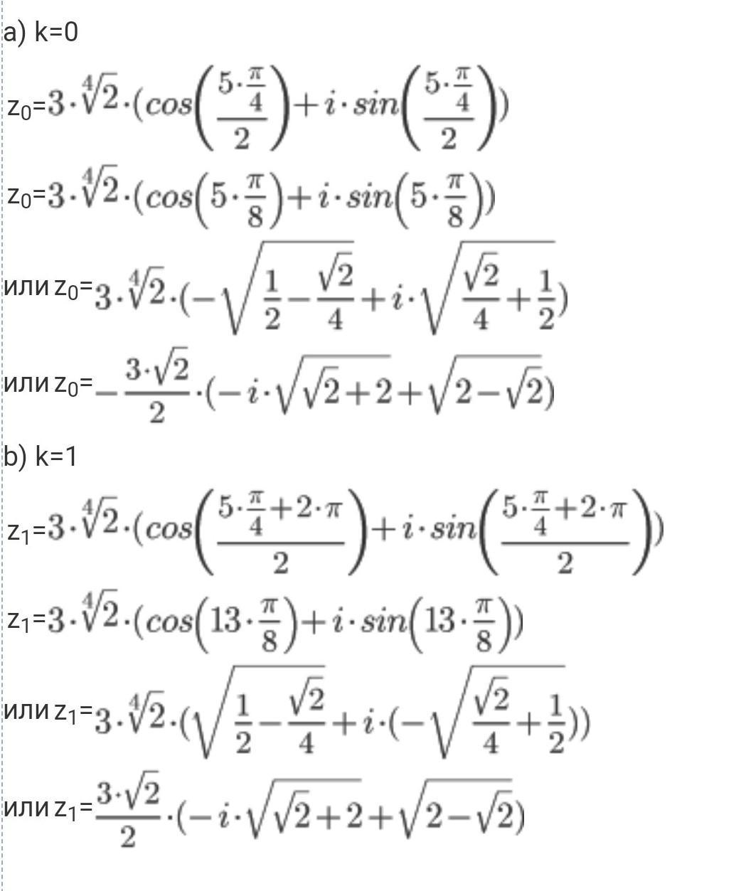
Найти все значения корня из комплексного

20. √-9 - 9i

Ответы

Автор ответа: elinashambetova
1

Объяснение:

.вроде это..............

Приложения:
Похожие вопросы
Предмет: Математика, автор: Аноним
На фабриці потрібно пошити 60 суконь. Перша майстри- - ня може виконати завдання за 20 днів. За скільки днів зможе виконати це завдання друга майстриня, якщо за день вона шиє на 1 сукню більше, ніж перша? (арифметичним способом)(арифметичним способом)(арифметичним способом)(арифметичним способом)(арифметичним способом)(арифметичним способом)(арифметичним способом)(арифметичним способом)(арифметичним способом)(арифметичним способом)(арифметичним способом)(арифметичним способом)(арифметичним способом)(арифметичним способом)(арифметичним способом)(арифметичним способом)(арифметичним способом)(арифметичним способом)(арифметичним способом)(арифметичним способом)(арифметичним способом)(арифметичним способом)(арифметичним способом)(арифметичним способом)(арифметичним способом)(арифметичним способом)(арифметичним способом)(арифметичним способом)(арифметичним способом)(арифметичним способом)(арифметичним способом)(арифметичним способом)(арифметичним способом)(арифметичним способом)