Предмет: Математика,
автор: seredadasha0110
ЛЮДИ ОЧЕНЬ СРОЧНО ДАМ 20 БАЛОВ
Приложения:
Ответы
Автор ответа:
0
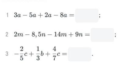
Ответ:
1) 3a-5a+2a-8a= -8a
2) 2m-8.5n-14m+9n= -12m-0.5n
3) -2/5c+1/3b+4/7c= (1/3)b - (2/5)c +(4/7)c
Похожие вопросы
Предмет: Українська мова,
автор: veronika5553432
Предмет: Математика,
автор: AyanDadashova143
Предмет: Геометрия,
автор: xhfggj907
Предмет: Русский язык,
автор: timurkakimov
Предмет: Физика,
автор: rasidovabilora