Предмет: Математика, автор: klyuchkiy9

Кривi. Буду благодарен

Приложения:

Ответы

Автор ответа: timofei9009900
0

Ответ:

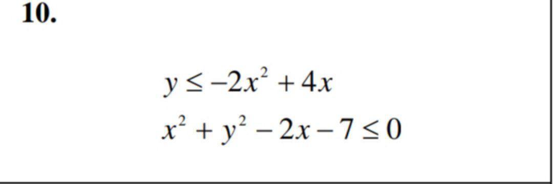
1. уравнение параболы.

значения подходящие под условия - внутри параболы

2. уравнение окружности

значения внутри круга удовлетворяют условиям

Приложения:
Похожие вопросы
Предмет: Математика, автор: illyagemba2
Предмет: Русский язык, автор: timaushanaorzumurado
Судьбы рек
Арт..риями жизни и колыбелью культуры были в прошлом
многие реки мира. На их берегах возникали большие города в
плодородных речных д..линах расцветали очаги земл..делия по
рекам люди уходили в неизвесность открывать мир.
Сколько рек на нашей планете? Разве можно ответить?
У каждой реки свой вид свой нрав своя судьба.
В по..небесье берут своё начало горные реки. Их русла
глубокие скалистые ущелья. Низв..ргаясь с гор, вода разрушает
самые прочные породы. Огромные ма..сы песка глины валунов
несёт она с горных склонов. И чем выше место рождения горной
реки, тем больше её разрушительная деятельность.
Реки, б..рущие своё начало в озёрах, часто с первых же
шагов широки и мнoгoвoдны.
Ис..ледуя морское дно, учёные находят там... утонувшие
реки. Миллионы лет назад их погл..тило море. Реки великие
разрушители. Неспроста вгрызаются они в свои берега. Про-
ходит время меняется русло. Бывает что река совсем уходит с
проторенных путей (В. Мезенцева).​