Предмет: Алгебра,
автор: Аноним
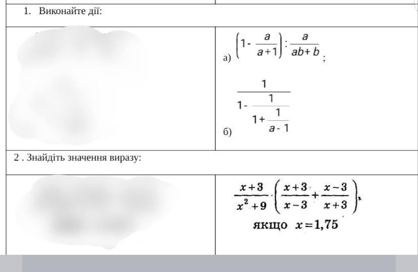
БУДЬ ЛАСКА ДОПОМОЖІТЬ
Приложения:
Ответы
Автор ответа:
1
Ответ: 1.а) b/a, б) а. 2. а) 2/x-3
Похожие вопросы
Предмет: Литература,
автор: sofiyaiatsenko06
Предмет: Геометрия,
автор: 24197424t
Предмет: История,
автор: nuraliabdygappar35
Предмет: Литература,
автор: dianakarin07
Предмет: Математика,
автор: Ainur1234t