Предмет: Алгебра,
автор: tuapjeif
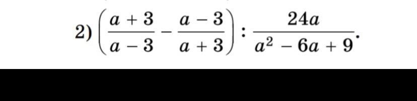
Спростіть вираз (даю 20 баллов)
Приложения:
Ответы
Автор ответа:
0
Вирішення на фото……………..
Приложения:
Похожие вопросы
Предмет: Другие предметы,
автор: ar18Vn
Предмет: Українська література,
автор: sanyaromantsov0612
Предмет: Математика,
автор: adem32568
Предмет: Математика,
автор: lizaymg111
Предмет: Химия,
автор: Аноним