Предмет: Алгебра,
автор: qwxpu
срочно нужно сдать, помогите пожалуйста
Приложения:
Ответы
Автор ответа:
1
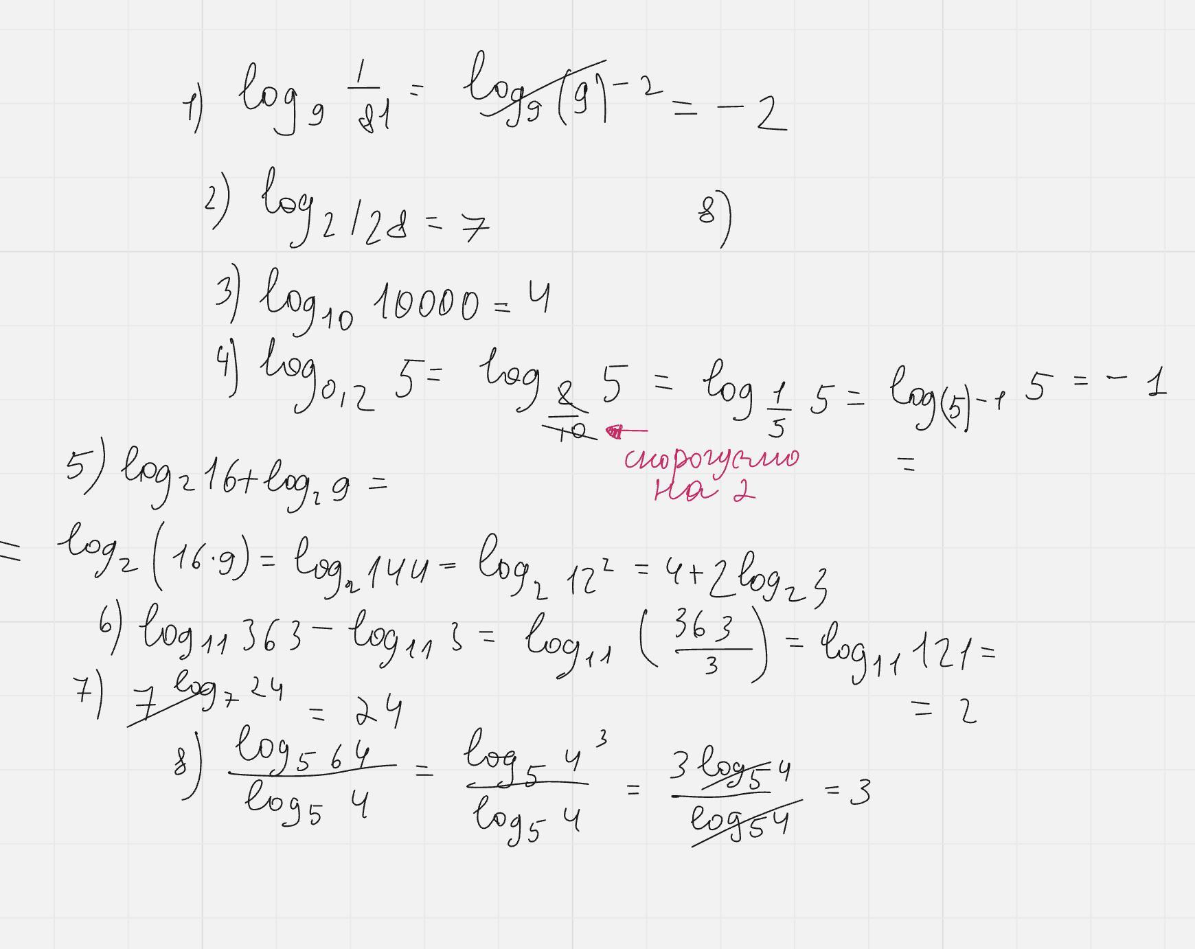
Ответ:
Дай лучший ответ
Объяснение:
Приложения:
qwxpu:
СПАСИБО!!!!!!
но к сожалению я не могу сделать лучший ответ ибо,на мой вопрос ответил только ты, я бы с радостью(
Похожие вопросы
Предмет: Русский язык,
автор: antonina1122
Предмет: Русский язык,
автор: hen9w9euk5
Предмет: Другие предметы,
автор: ivankoliza59
Предмет: Беларуская мова,
автор: Vanya00918
Предмет: Математика,
автор: lisa76796