Предмет: Алгебра,
автор: tetanagoncaruk40
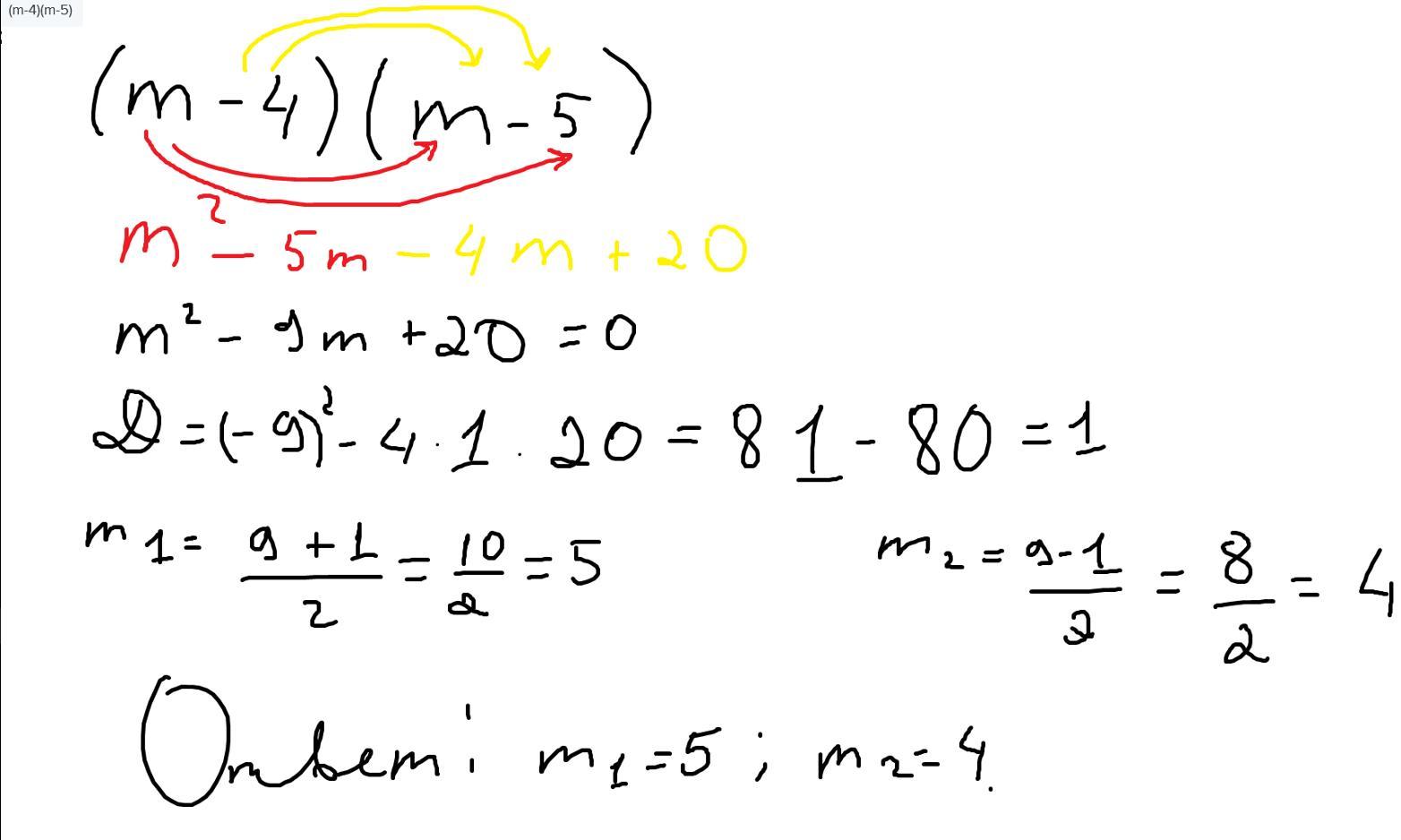
Перетворіть у многочлен вираз.
(m-4)(m-5)
Ответы
Автор ответа:
1
Ответ:
....
Объяснение:
Приложения:
Похожие вопросы
Предмет: Математика,
автор: asylisa806
Предмет: Немецкий язык,
автор: Аноним
Предмет: История,
автор: panasuksofia619
Предмет: Математика,
автор: no34398
Предмет: Физика,
автор: ananasik1789