Предмет: Алгебра,
автор: footuukraine
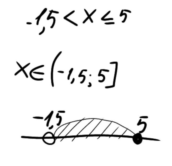
зобразити на кординатній прямій множину чисел,що задовольняють подвійну нерівність -1,5<х≤5
Ответы
Автор ответа:
1
Ответ:
(-1,5;5], ответ на фото
Приложения:
Автор ответа:
1
На картинке координатной прямой всё изобразил, точка -1,5 выколотая, так как знак строгий; точка 5 закрашенная, так как знак не строгий.
x∈(-1,5; 5]
Приложения:
Похожие вопросы
Предмет: Физика,
автор: danilashewcuk
Предмет: География,
автор: wtfff81
Предмет: Английский язык,
автор: v542039
Предмет: Английский язык,
автор: evavish
Предмет: Геометрия,
автор: Irenalav333