Предмет: Алгебра, автор: Shido1202

ПОМОГИТЕ, СРОЧНО НУЖНО!!!​

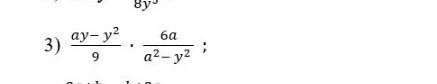
Приложения:

Ответы

Автор ответа: kostyachapraz
1

Объяснение:

как то вот так вот тебе ответ

Приложения:
Похожие вопросы
Предмет: Английский язык, автор: tanychacherna
Exercise 3. Read the text about the place of physical education in the
school curriculum

Physical Education in the Secondary School Curriculum

Physical education is an important part of the secondary school curriculum.
As an integral component of the total education of students, it contributes to
overall goals of education. Additionally, Physical education makes a unique
contribution to the education of the students; it is the only subject area in the
school devoted to the study of human movement, the acquisition of motor skills,
and the promotion of fitness. It is concerned with the total development in the
psychomotor, cognitive and affective domains. The development of motor skills,
fitness knowledge, and attitudes conducive to a lifetime of participation is a
commonly acknowledged goal of the secondary school education program.
The importance of leading a physically active lifestyle is increasingly
recognized. The incorporation of regular and appropriate physical activity, such as

15

that associated with participation in sports, aquatics, dance, outdoor, and fitness
activities, can have a beneficial effect on one’s health.
School physical education programs represent the best avenue for reaching
millions of adolescents and educating them about health-related fitness and the
effects of exercises on the human body. Involving students with vigorous activity
during classes, teaching the motor skills for use outside the school, and providing
experiences conducive to forming positive attitudes toward physical activity are
some of the important contributions that physical education can make to the health
of the nation.
The secondary school years are an important time for physical education.
During this time adolescents should have the opportunity to be exposed to a
variety of sports, dance, and outdoor activities and to develop competence in a few
selected ones. Gaining knowledge about human movement is an important part of
the physical education experience. Since one of the major goals of education is to
prepare students to be lifelong learners, knowledge of factors affecting movement
is essential for future learning. Since physical activity habits are formed early in
life, attention must be given within the physical education program to helping
students to incorporate physical activity into their lifestyles at this age.
Experiences that promote mastery, enjoyment and satisfaction contribute to
formation of positive activity habits.
Thus physical education is an essential component of any curriculum
designed to educate the whole person.

(Originated from Deborah A. Wuest, Bennett J. Lombardo Curriculum)

Exercise 4. Work in pairs. Find terms in the text which mean:
a) an area of knowledge or activity; especially one that sb is responsible for;
b) a young person who is developing from a child into an adult;
c) the subjects that are included in a course of study or taught in a school,
college, etc;

16

d) the knowledge and skill that you have gained through doing sth for a
period of time; the process of gaining this;
e) the state of being physically healthy and strong;
f) lasting or existing all through your life;
g) great knowledge about or understanding of a particular thing;
h) a time when a particular situation makes it possible to do or achieve;
i) very active, determined or full of energy;
j) a process of teaching, training and learning to improve knowledge.