Предмет: Математика,
автор: helpme228998
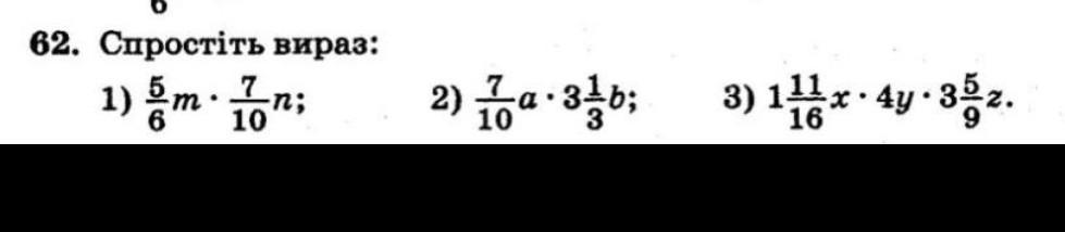
помогитеееееееееееееее
Приложения:
Ответы
Автор ответа:
1
Відповідь:
Покрокове пояснення:
Приложения:
Автор ответа:
0
24xzy
Вот ответ
Поставь пж спасибо
Вот ответ
Поставь пж спасибо
Похожие вопросы
Предмет: Английский язык,
автор: raufhujaev1984
Предмет: Литература,
автор: a96513140
Предмет: Алгебра,
автор: serbacenkokaterina
Предмет: Другие предметы,
автор: ddi783268
Предмет: Математика,
автор: abis10150