Предмет: Физика,
автор: TesYakimova
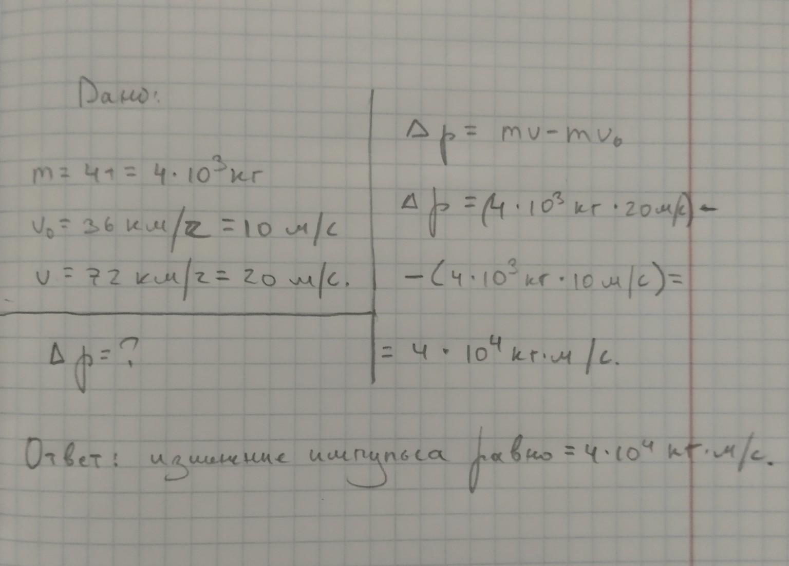
Чему равно изменение импульса грузовика массой 4 т, если он изменил скорость от 36 до 72 км/ч? (Ответ кг•м/с)?
Ответы
Автор ответа:
0
Ответ:
изменения импульса грузовика =
Приложения:
Похожие вопросы
Предмет: Українська література,
автор: sonyav12
Предмет: Литература,
автор: nurajsejtkali8
Предмет: Українська література,
автор: vieravakulenko
Предмет: Литература,
автор: shasmin072007
Предмет: Қазақ тiлi,
автор: liana4235