Предмет: Алгебра, автор: ilchenkodaria07

СРОЧНО! ДАМ 15 БАЛЛОВ
все надо расписать!!!!

Приложения:

Ответы

Автор ответа: parus77
1

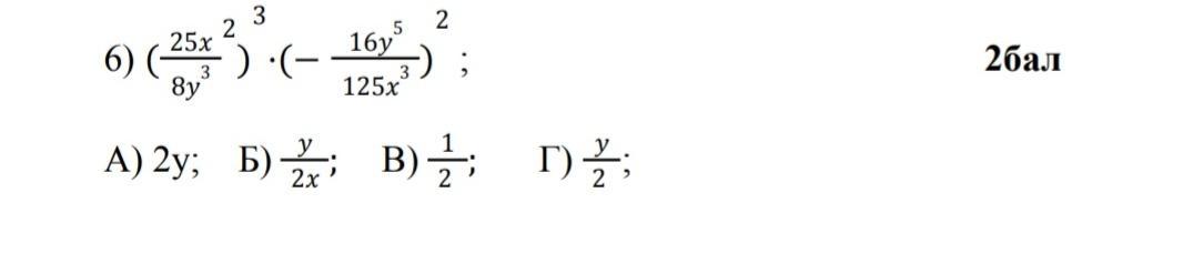
Ответ:

Г   у/2

Объяснение:

Приложения:
Похожие вопросы
Предмет: Английский язык, автор: veronikadyjak
Предмет: Литература, автор: Аноним
Зарубіжна література.
Тематичне оцінювання за твором Ч. Діккенса "Різдвяна пісня в прозі".
1. Духів, які відвідали Скруджа, було...
а) 1
б) 2
в) 3
г) 4

2. Перший дух, який з'явився Скруджу, повів його у...
а) минуле
б) сучасне
в) майбутнє

3. Третій дух був вісником...
а) минулого
б) сучасного
в) майбутнього

4. Вдача Скруджа у творі Діккенса порівнюється з...
а) теплом
б) холодом
в) дощем

5. Сім'я Кретчитів була багата...
а) багатими родичами
б) грошима
в) любов'ю один до одного

6. Справжній різдвяний вечір Скрудж провів у...
а) родині племінника
б) родині Кретчитів
в) у себе вдома

7. Скрудж змінив своє ставлення до людей, тому що...
а) боявся нових привидів
б) не хотів помирати
в) хотів змінити долю хлопчика Тіма

8. Перелічіть імена духів, які приходили до Скруджа.

9. Доведіть, що Скруджу було боляче зазирнути у власне минуле, а його страждання були справжніми.

10. З'ясуйте, чому саме до Скруджа - ділової людини Лондона, приходять різдвяні духи.
Предмет: Қазақ тiлi, автор: nastasykoledova