Предмет: Алгебра,
автор: Аноним
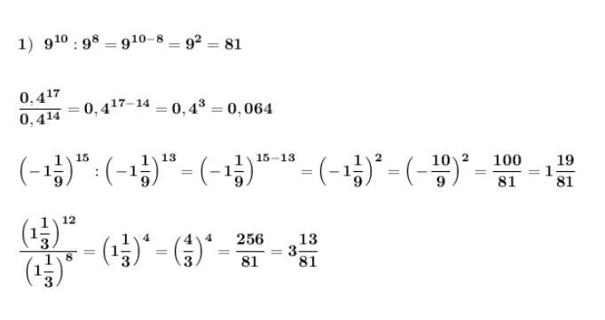
зробити розписати та знайти рішення
Приложения:
Ivan19074:
когда делим степени, их показатели отнимаем, например 9^10 - 9^8 = 9^(10-8) = 9^2
Ответы
Автор ответа:
0
Ответ..........................................................................................................
Приложения:
Похожие вопросы
Предмет: Қазақ тiлi,
автор: davidgggbaranov
Предмет: Биология,
автор: Ertweg13
Предмет: Физика,
автор: arulina516
Предмет: Английский язык,
автор: Sophiadea
Предмет: Алгебра,
автор: Аноним