Предмет: Математика,
автор: alinasatunova192
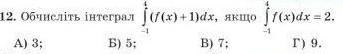
обчисліть інтеграл 4∫-1(f(x)+1)dx, якщо 4∫-1f(x)dx=2
Правильна відповідь 7, поясніть чому правильна відповідь саме 7
Приложения:
Ответы
Автор ответа:
0
Для обчислення інтегралу 4∫-1(f(x)+1)dx, ми можемо використовувати властивості інтегралів:
4∫-1(f(x)+1)dx = 4∫-1f(x)dx + 4∫-1(1)dx
За вас дано, що 4∫-1f(x)dx = 2. Тому ми можемо підставити це значення:
4∫-1f(x)dx + 4∫-1(1)dx = 2 + 4∫-1(1)dx
Тепер, для обчислення другого інтегралу, нам потрібно інтегрувати функцію константи 1 від -1 до -1. Однак, інтегрування константи від одного значення до того ж самого значення завжди дорівнює нулю. Тобто:
4∫-1(1)dx = 0
Отже, вираз 4∫-1(f(x)+1)dx дорівнює:
2 + 0 = 2
Тобто правильна відповідь - це 2, а не 7, оскільки інтеграл 4∫-1(f(x)+1)dx дорівнює 2, згідно з вказаними умовами.
Похожие вопросы
Предмет: Английский язык,
автор: sashakaratnyuk
Предмет: Литература,
автор: romg56835
Предмет: Биология,
автор: hasaid
Предмет: Математика,
автор: dikina2005