Предмет: Алгебра,
автор: viktoridzuba29
Срочно!!!! даю 70балов
сделать усё!!!
Приложения:
Ответы
Автор ответа:
0
Ответ:
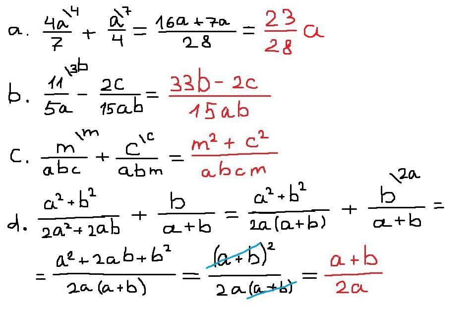
красным
Объяснение:
на фото
Приложения:
viktoridzuba29:
дякую велике)
В примере а, пропустили в числителе переменную а
23а/28
бывает
спасибо что заметил
бывает)
я сегодня тебе вопрос задал кста. можешь лутать баллы
Автор ответа:
0
Ответ:можно лучший ответ, пожалуйста!
Объяснение:
Приложения:
Похожие вопросы
Предмет: История,
автор: galuna1910
Предмет: Английский язык,
автор: foxmaster140822
Предмет: Биология,
автор: v87010656
Предмет: Биология,
автор: igorewna
Предмет: Математика,
автор: planetofstreams