Предмет: Алгебра,
автор: sabihello006
СРОЧНО ПОЖАЛУЙСТА!!!!!
Приложения:
sabihello006:
<:0
ща
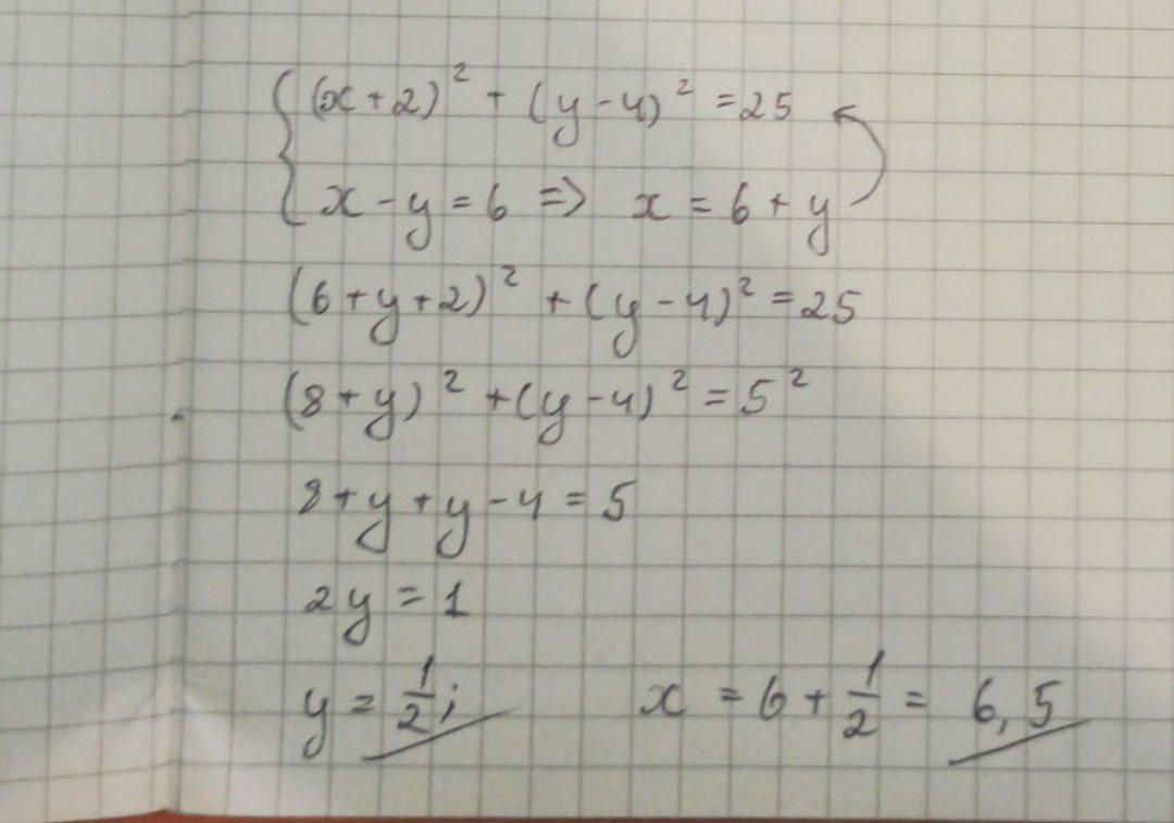
x+2=u; x=u-2; y-4=v; y=v+4; x-y=u-2-v+4=u-v+2=6' u-v=4; {u^2+v^2=25; u-v=4}; u^2+v^2=u^2-2uv+v^2+2uv=(u-v)^2 +2uv=16+2uv=25; 2uv=9; u=v+4; 2v(v+4)=9; 2v^2 +8v -9=0;..... Дальше устно. Арифметику перепроверь.
Ответы
Автор ответа:
0
Відповідь:
Пояснення:
Приложения:
Похожие вопросы
Предмет: Физика,
автор: BeasGraff
Предмет: Математика,
автор: adaevaltair36
Предмет: Русский язык,
автор: belaevasofa548
Предмет: Математика,
автор: rustam2432