Предмет: Алгебра, автор: nikitagaranzhan

СРОЧЬНО !!!!!!!!!! дам 30 балов

Приложения:

nikitagaranzhan: увы но я все

Ответы

Автор ответа: syuioshusuo
1

Нужно сократить дробь и

упростить выражение:

(x-3)x(x+3) × 2/x+3

Упростим выражение:

(x-3)х2

и получаем:

2x-6


nikitagaranzhan: я поставил 5 но ответ не верный
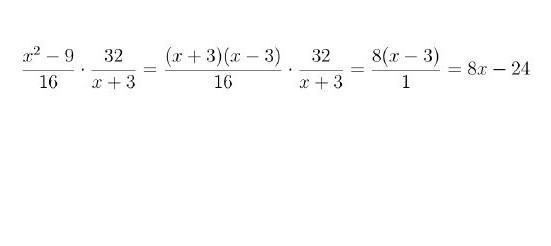
Автор ответа: aniatanasescu19
1

Ответ:

8x - 24

Объяснение:

 \frac{  {x}^{2} - 9 }{16}  \times  \frac{32}{x + 3}  =  \frac{(x + 3)(x - 3)}{16}  \times  \frac{32}{x + 3}  =  \frac{8(x - 3)}{1}  = 8x - 24

Приложения:

nikitagaranzhan: молодец
Похожие вопросы
Предмет: Другие предметы, автор: BenthSpet
Предмет: Химия, автор: zarubinaanastasia201