Предмет: Алгебра, автор: anitaolicsyk

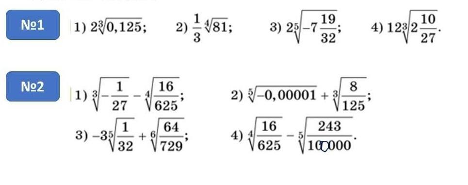
виконайте розв'язок задач​

Приложения:

Ответы

Автор ответа: uiibababoj
0

Ответ:

Ответ в закреплёном фото

Приложения:
Похожие вопросы
Предмет: Математика, автор: vladuslavgotv
Предмет: Математика, автор: chebannelli1
Предмет: Українська мова, автор: 1izakq
Предмет: Математика, автор: vkysnyashkabelozerov
Предмет: Биология, автор: monita1371