Предмет: Алгебра,
автор: sashh140612
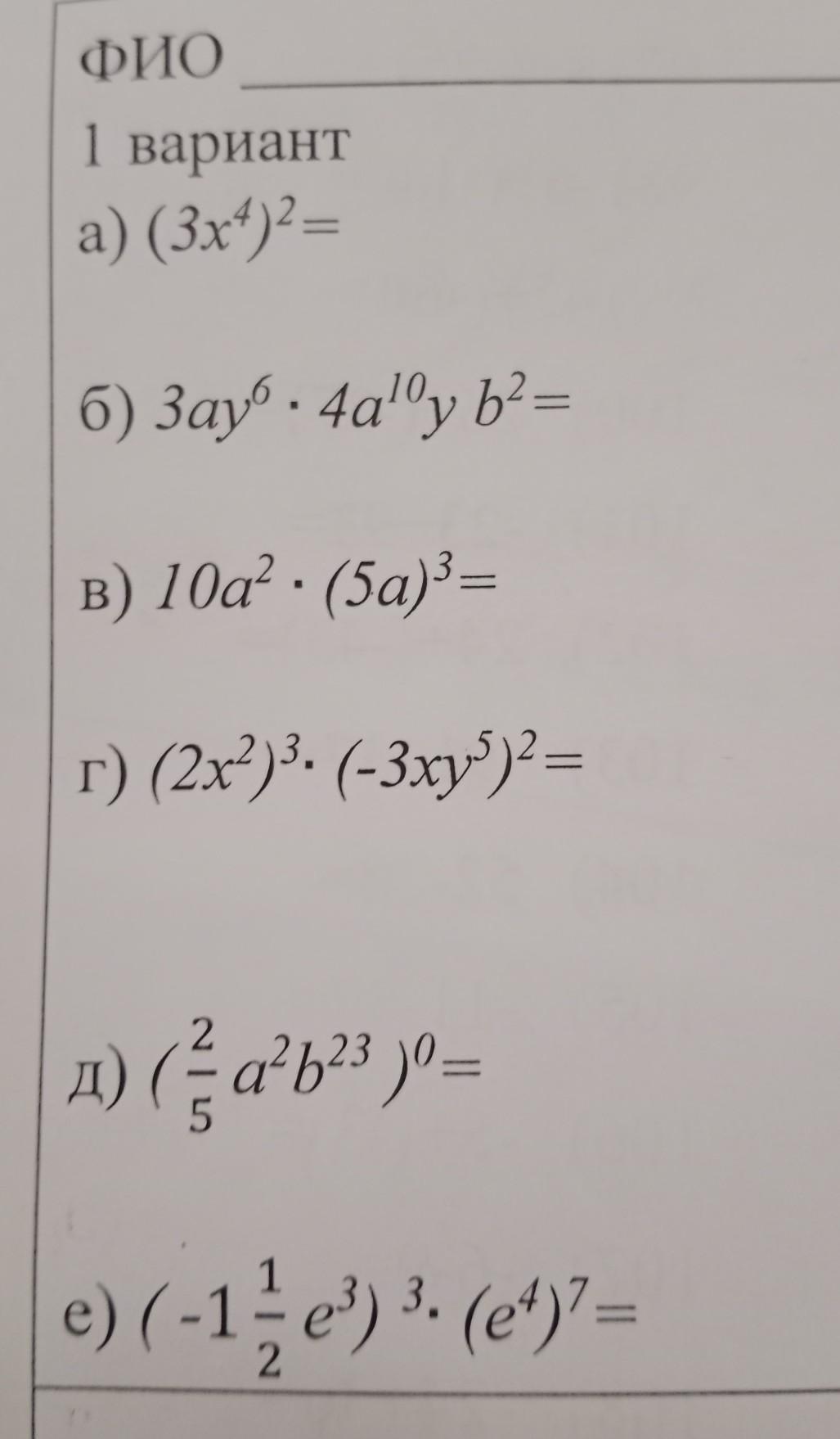
(3х⁴)²=
3ау⁶×4а¹⁰ у b²=
(2x²)³×(-3xy⁵)²=
2/5a²b²³)⁰=
(1 1/2e³)³×(e⁴)⁷=
(5x³)³=
21ay⁶×4a⁷ 7²=
12a²×(-3a)⁴=
(5x³)³×(6xy⁴)²=
(2/5b²)⁰=
(-2 1/2e⁷)³×(e⁹)⁷=
(5x⁷)²=
8ay²×9a¹²y b³=
7a³×(2a)⁸=
(4x²)⁴×(-5xy³)²=
(2/5a²b¹²)⁰=
(-4 1/2e³)⁵ ×(e⁴)⁶=
СРОЧНО ДАМ 80 БАЛЛОВ!!
Приложения:
Ответы
Автор ответа:
0
Объяснение:
на фото...................,........
Приложения:
Похожие вопросы
Предмет: Математика,
автор: semizbaevalmansur
Предмет: Литература,
автор: maratdiana916
Предмет: Алгебра,
автор: mqmane
Предмет: Математика,
автор: al2008lexa